УДК 531.771;531.775;621.317.351
С позиции теории функциональных систем П.К.Анохина,
изменение Lвегетативного портрета¦ при разном функциональном состоянии
человека происходит в соответствии с принципом мультипараметрического
регулирования, предполагающим вариабельность сочетания физиологических
функций при их взаимосодействии достижению одинакового приспособительного
результата [1, 2]. Поэтому для оценки состояния необходимо следить
за динамикой одновременно нескольких показателей жизнедеятельности
организма, что в быстро меняющихся условиях методически затруднено
из-за длительности процедуры измерения. Поэтому разработка и внедрение
методов оперативной мультипараметрической оценки вегетативных
функций и, в частности сердечно-сосудистой системы, остается актуальной
задачей. Одним из таких методов является многоканальная тахоосциллография
[3]. Разработана компьютеризированная система, обеспечивающая
одновременную регистрацию шести тахоосциллограмм (ТОГ), их количественное
описание и определение возможного типа сердечно-сосудистой патологии
[4]. Целью данной работы была оценка информативности показателей,
используемых при описании ТОГ для характеристики изменения состояния
практически здоровых людей на примере психоэмоционального напряжения
(ожидание экзамена) и эффектов корригирующих воздействий (вибрационный
массаж и зрительная цветовая стимуляция).
Обсуждаются результаты трех серий исследований. В первой серии изучали различия ТОГ, которые регистрировались у 20 студентов-медиков в день обычных практических занятий и в день экзамена на этапе его ожидания. Известно, что последняя ситуация характеризуется психоэмоциональным напряжением, наиболее закономерным проявлением которого является увеличение частоты сердечных сокращений (ЧСС). Изменения же других показателей отличаются значительной вариабельностью. Запись ТОГ производилась в положении лежа на спине. Дополнительно измеряли артериальное давление по Короткову.
Во второй серии обследований изучали эффекты одноразового 10-минутного динамического вибромассажа спины у 10 мужчин в возрасте 40-58 лет, занимающихся умственным трудом. Устройство для массажа выполнено в виде плоской подушки со вмонтированными в нее двадцатью электрическими вибраторами. Пространственное сочетание, последовательность и продолжительность включения вибраторов устанавливались автоматически, а переход к новой пространственной динамике воздействия производился самим обследуемым.
В третьей серии исследовали эффекты прерывистой зрительной стимуляции разным цветом у 7 мужчин в возрасте 16-59 лет и 5 женщин 16-20 лет. Воздействие осуществлялось с помощью специальных изолирующих очков при чередовании света разной яркости раздельно на левый и правый глаз в течение 8,5 мин. Обследования повторялись с интервалом в 1 неделю с применением одного из цветов (красный, желтый, зеленый, синий) или без стимуляции (темнота). Регистрация ТОГ производилась перед и после воздействия.
Система 6-канальной тахоосциллографии включает блок компрессора, блок пневматического регулирования и измерения давления в каждой из шести манжет и персональную ЭВМ, в которую помещена специальная плата электронного управления пневматикой.
В автоматическом режиме осуществлялась запись в памяти ЭВМ и математическая обработка одновременно шести ТОГ: височных артерий (левой и правой), артерий плеч и голеней. На перечисленные участки тела накладывались манжеты, в которые накачивался воздух при соблюдении линейного нарастания давления от 50 до 200 мм рт. ст. в манжетах на голове и до 250 мм рт.ст. на руках и ногах за 30 с. В этом диапазоне изменения окклюзионного давления в памяти ЭВМ регистрировалась скорость изменения объема (за счет пульсаций кровотока) в манжетах при помощи датчиков, расположенных в блоке управления пневматикой. Математическая обработка полученных ТОГ включала измерение площадей положительного и отрицательного участков между нулевой линией и линией, огибающей ТОГ, аналогично этому - площадей между нулевой линией и пульсовой кривой, выделение положительного и отрицательного максимумов огибающей ТОГ и определение их координат, вычисление средней продолжительности сердечного цикла. В дополнение к первичным признакам высчитывались различные отношения между ними, характеризующие удельный вес и пространственные соотношения признаков. Всего в результате одного обследования получалась таблица, содержащая 138 параметров. Все ТОГ сохраняются в памяти ЭВМ, и существует возможность выделения новых признаков. Процедура регистрации не является индифферентной (о чем свидетельствует изменение частоты сердцебиений) и может рассматриваться так же, как функциональная проба.
Площади ТОГ зависят от величины пульсового кровенаполнения
сосудов и пульсового артериального давления. Точка максимума на
ТОГ (положительная амплитуда) соответствует наибольшей скорости
увеличения объема сосудов в систолу при условии разгрузки сосудистой
стенки за счет прикладываемого извне давления. Изменение этой
скорости находится в прямой зависимости от интенсивности сокращения
сердца и периферического сопротивления сосудистой области. Точка
минимума ТОГ (отрицательная амплитуда) показывает наибольшую скорость
уменьшения внутрисосудистого объема в диастолу (за счет действия
эластической силы и результирующей внешнего давления); скорость
оттока крови прямо зависит от конечного систолического давления
и связана обратной зависимостью с периферическим сопротивлением.
Давление в манжете в момент появления отрицательной амплитуды
ТОГ соответствует боковому систолическому АД [5].
Результаты первой серии обследований показали, что при психоэмоциональном напряжении перед экзаменом у студентов имело место увеличение ЧСС на 33 4 % и повышение систолического АД на 4 1,3 %, что соответствует многочисленным данным литературы. Новые данные получены при анализе ТОГ. При стрессе отмечалось закономерное увеличение площадей, образуемых пульсовыми кривыми ТОГ всех шести сосудистых зон - височных артерий, плеч и голеней (р<0,001). Еще более достоверным было увеличение долей, которые эти площади занимают в соответствующих зонах, образованных огибающими линиями ТОГ (р<0,001). Это увеличение отражает усиление кровотока, которое отчасти было обусловлено возрастанием ЧСС при стрессе. Однако степень увеличения площади пульсаций ТОГ лишь для правой височной артерии была такой же, а во всех других областях была больше, чем можно ожидать, исходя из повышения ЧСС: для сосудов рук и ног она составляла в среднем 42-49%, для левой височной артерии - 76%. Выявленные различия свидетельствуют о неодинаковом изменении состояния сосудов и, как следствие, неодинаковом увеличении кровотока в исследованных областях. В результате у большинства студентов при стрессе происходило увеличение ассиметрии кровотока, причем оно наиболее выражено в сосудах головы. Это наблюдение находится в соответствии с данными литературы об изменении в аналогичных условиях ассиметрии температуры [6]. Другим проявлением перераспределения кровотока при психоэмоциональном напряжении служит увеличение доли кровотока в височных артериях по отношению к одновременному изменению кровотока в сосудах плеч и голеней.
В условиях психоэмоционального напряжения на ТОГ преобладало увеличение максимальных амплитуд пульсаций. Это может быть отражением снижения сосудистого тонуса, что, в свою очередь, позволяет понять, почему повышение АД значительно меньше, чем следовало ожидать, исходя из увеличения ЧСС.
Таким образом, метод 6-канальной тахоосциллографии позволил выявить, что у студентов в условиях психоэмоционального напряжения происходит перераспределение кровотока в организме. Индивидуальные особенности этого компонента общей реакции организма должны учитываться при определении устойчивости к стрессу.
Во второй серии исследований регистрации ТОГ использовалась для мультипараметрической характеристики эффектов процедуры релаксации при массаже спины. После массажа обнаружены изменения разных параметров ТОГ. Так, наиболее общий показатель кровотока в организме - сумма площадей под огибающими всех шести ТОГ - уменьшался у 7 из 10 человек на 4-15% (в среднем на 8%) от исходной величины. У трех оставшихся мужчин изменения суммарной площади были незначительными, но имели место разнонаправленные отклонения в отдельных участках тела. Судя по средней длительности кардиоциклов, отмеченное в большинстве случаев ослабление кровотока было обусловлено у 5 человек одновременным уменьшением ЧСС и ударного объема сердца, а у двух - только уменьшением ударного объема.
На различных участках тела эффекты массажа проявлялись неодинаково. Наибольшее уменьшение площади ТОГ обнаружено на височных артериях: от 1 до 31%, в среднем - на 16%. На плечах и голенях ослабление кровотока было менее выражено: уменьшение площади ТОГ составило в среднем 7%. Таким образом, 6-канальная тахоосциллография позволяет обнаружить своеобразие пространственного паттерна сосудистых реакций после массажа спины. Это выражалось и в изменениях формы ТОГ. В большинстве случаев происходило уменьшение величины давления в манжетах, при котором наблюдался максимум отрицательного зубца ТОГ,- показателя бокового систолического АД. На левом плече уменьшение давления отмечено у всех 10 человек: на 1-7 мм рт.ст., в среднем - на 3,3 мм рт.ст. На правом плече - у 7 человек. Аналогичное снижение давления на левой голени отмечалось чаще, чем на правой. Максимальные величины как положительного, так и отрицательного зубцов ТОГ, отражающие тонус сосудов, после массажа закономерно уменьшались только на левой голени. В височных артериях уменьшение амплитуды наблюдалось чаще, чем увеличение, а в сосудах плеч изменения в ту и другую сторону были равновероятны.
Таким образом, при относительно слабом корригирующем воздействии, каковым является 10-минутный вибрационный массаж спины, метод многоканальной тахоосциллографии позволил обнаружить как общие для большинства обследованных мужчин, так и индивидуальные изменения состояния сердечно-сосудистой системы. Разная чувствительность к воздействиям выражалась в неодинаковом изменении системной гемодинамики и в пространственном паттерне сосудистой реакции.
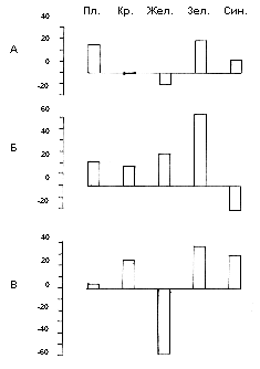
Исследования третьей серии показали, что после применения зрительной стимуляции и после простого пребывания в темных очках (плацебо) отмечалось как уменьшение, так и увеличение площадей, ограниченных огибающими линиями ТОГ. При этом наряду с индивидуальными различиями имели место различия между реакциями в разных сосудистых областях, а также в зависимости от цвета стимулов (рис. 1), что представляло главный интерес данной работы. Наиболее выраженные изменения обнаружены при использовании желтого и зеленого цветов. В случае зрительной стимуляции желтым цветом в сосудах ног преобладали реакции увеличения кровотока, в то время как в сосудах рук чаще отмечалось ослабление кровотока, а в височных артериях оба типа реакций были почти равновероятны. После воздействия зеленым цветом преобладали однотипные эффекты на всех трех участках тела: число реакций ослабления кровотока было больше числа реакций увеличения кровотока. Наиболее закономерным это было для сосудов рук. В височных сосудах эффект, в среднем, был таким же, как и при отдыхе в темных очках.

Рис.1. Изменение кровотока
височных артерий (А), плечевых артерий (Б), артерий голеней (В)
после зрительной стимуляции со светофильтрами четырех цветов (Кр.
- красный, Жел. - желтый, Зел. - зеленый, Син. - синий),
а также после пребывания в затемненных очках без включения стимулятора
(Пл. - плацебо). По вертикальной оси - разница между числом изменений
в сторону уменьшения и увеличения площадей, образованных огибающими
линиями тахоосциллограмм, в процентах от общего числа измерений
N = 24.
Анализ показателей, отражающих форму ТОГ, показал, что после зрительной стимуляции желтым цветом значительно чаще отмечалось уменьшение показателя бокового систолического АД в сосудах как рук, так и ног. Эти изменения не сопровождались закономерными изменениями длительности сердечного цикла. В изменениях амплитудных параметров ТОГ сосудов рук и ног преобладали разные тенденции: для первых более характерным было уменьшение положительной и отрицательной амплитуд, а для последних - увеличение амплитуд. На основании полученных данных можно полагать, что наиболее часто изменения кровотока в сосудах рук после стимуляции желтым цветом было обусловлено ослаблением интенсивности сердечного выброса в сочетании с повышением периферического сопротивления. Для сосудов ног более типичным было снижение периферического сопротивления.
После применения зрительной стимуляции зеленым цветом в сосудах рук преобладали изменения в сторону повышения бокового САД (67% случаев, понижение отмечено в 33%). при этом положительная амплитуда ТОГ была в 67% случаев уменьшена и лишь в 8% увеличена, отрицательная амплитуда - в 75% уменьшена и в 17% - увеличена. Реакция урежения сердцебиений отмечены в 42% обследований, учащение - в 58%. Сопоставление перечисленных данных позволяет полагать, что при использовании стимуляции зеленым цветом в сосудах рук преобладало снижение АД за счет ослабления интенсивности сердечного выброса при одновременном увеличении периферического сопротивления сосудов. В сосудах ног понижение и повышение бокового систолического АД отмечалось одинаково часто (33%), хотя максимальная скорость пульсового кровенаполнения чаще была уменьшена (58% случаев, увеличение - в 21%).
Таким образом, использование тахоосциллографии для
изучения эффектов зрительной стимуляции позволило выявить индивидуальные
особенности реакций и различия, обусловленные цветом стимулов.
Разнообразие изменений в сердечно-сосудистой системе состояло,
главным образом, в неодинаковом пространственном паттерне сосудистых
реакций.
На примерах психоэмоционального напряжения у студентов
перед экзаменом и слабых корригирующих воздействий в виде вибрационного
массажа спины и прерывистой зрительной стимуляции разным цветом
выявлено, что метод 6-канальной тахоосциллографии позволяет получить
новые данные о сердечно-сосудистых компонентах целостной реакции
организма практически здоровых людей в разных условиях жизнедеятельности.
Преимущества метода состоят в получении за короткое время множества
показателей, которые отражают изменения как в системной гемодинамике,
так и, что самое главное, в кровотоке нескольких сосудистых областей.
При слабых внешних воздействиях разница по изменениям кровотока
в сосудах головы, рук и ног иногда служила единственным проявлением
системной реакции организма в кровообращении.
1. Анохин П.К. Узловые вопросы теории функциональной системы.- М.: Наука, 1980.- 196 с.
2. Судаков К.В. Основные принципы общей теории функциональных систем. Кн.: Функциональные системы организма.- М.: Медицина, 1987.- С.26-48.
3. Мажбич Б.И. Осциллометрия артериальных сосудов конечностей.- Новосиб.: Наука, 1990.- 149 с.
4. Бурцев Е.В., Райков А.Н., Сасорова Е.В. Принципы разработки распознающих систем для медицинской диагностики на примере тахоосциллографического обследования.- Препринт 44. Вычислительный центр РАН.- М., 1993.- 64 с.
5. Савицкий Н.Н. Биофизические основы кровообращения и клинические методы изучения гемодинамики.- Л.: Медицина, 1974.- 311 с.
6. Коротич В.А., Шелихов А.В. Температурная
асимметрия у студентов в процессе обучения и экзаменационной деятельности
// Влияние факторов внешней среды на организм человека.- М., 1984.-
С.64-67.
The new method is based on 6-channel tachooscillography
allowing rapidly to get many indices which reflect changes in
the system hemodynamics and in the blood stream of some vessel
zones as well.
Бурцев Евгений Всеволодович
- кандидат физико-математических наук, специалист в области разработки
распознающих компьютерных систем для медицинской диагностики.
Галактионов Виктор Александрович
- ведущий инженер МФТИ. Основной научный интерес - разработка
технических систем для медицинских исследований.
Кузьменко Валерий Алексеевич
- доктор биологических наук, старший научный сотрудник НИИ нормальной
физиологии им. П.К.Анохина. Научные интересы - механизмы регуляции
кровообращения и дыхания, динамическая организация и взаимодействие
функциональных систем вегетативного обеспечения.
Сасорова Елена Васильевна.
Окончила Московский инженерно-физический институт в 1962 г.,
в 1968 г. - аспирантуру Московского физико-технического института
по специальности LПрикладная математика¦. В 1972 г. защитила
кандидатскую диссертацию по специальности LТехническая кибернетика¦.
Работала в Вычислительном центре АН СССР, в Институте морской
геологии и геофизики на Сахалине, в ГЕОИНФОРМсистем, в настоящее
время - в Государственном океанографическом институте Росгидромета.
Область научных интересов - обработка изображений, многомерных
сигналов, распознавание образов (разработка алгоритмов и программных
комплексов). Области применения: геофизика, медицина. Автор 60
научных работ.