УДК 612.822.3:612.826+612.014.42
ЧАСТОТНЫЙ СОСТАВ ЭЭГ СИММЕТРИЧНЫХ ОБЛАСТЕЙ КОРЫ И ГИППОКАМПА КРОЛИКОВ ПРИ ВОЗДЕЙСТВИИ ЭМИ КВЧ НА ЗОНУ АКУПУНКТУРЫ
В. В. Воробьев, А. Б. Гапеев, С. А. Нейман, Г. М. Пискунова, Р. Н. Храмов, Н. К. Чемерис
1. Введение
Интерес к проблеме использования электромагнитного излучения крайневысокой частоты (ЭМИ КВЧ) низкой интенсивности в биологии и медицине [1, 2] определяется как получением новых данных в этой области, так и реальной возможностью коррекции с его помощью нарушений в организме животных и человека. Важное значение при этом приобретают исследования по влиянию КВЧ-излучения на условнорефлекторную деятель ность [3] и функциональное состояние центральной нервной системы (ЦНС), поскольку известна повышенная чувствительность последней к высокочастотному ЭМИ [4]. Использование с этой целью электрофизиологического подхода позволило выявить ряд закономерностей в действии ЭМИ КВЧ на головной мозг [5]. С другой стороны, отмечается особая эффективность этого излучения в условиях его воздействия на зоны акупунктуры [6]. Учитывая важное значение гипоталамуса в механизмах акупунктуры [7, 8] и его участие в развитии общего адаптационного синдрома на применение электромагнитных полей [см. 1], основное внимание до последнего времени было сосредоточено на данной структуре [9]. Однако не менее важной остается проблема выяснения роли локального воздействия на зоны акупунктуры (ЗА) в механизмах формирования и анализа сенсорной информации. Наиболее важное значение в данном процессе принадлежит, как известно, соматосенсорной коре и, наряду с гипоталамусом, - гиппокампу. При этом, если к явлениям, происходящим на корковом уровне, не ослабевает интерес [10], то исследование функционального состояния гиппокампа при воздействии на ЗА, а тем более - в сравнительном аспекте с корой, находится на начальном этапе.
Таким образом, целью настоящей работы является сравнительный анализ частотного состава электрической активности (ЭЭГ) соматосенсорной коры и гиппокампа бодрствующих кроликов при действии на зону акупунктуры КВЧ-излучения двух, значительно отличающихся интенсивностей, примененных в разной последовательности.
2. Материалы и методы исследования
Эксперименты проведены на 6 кроликах-самцах (шиншилла, 3-4 кг) с постоянно вживленными монополярными электродами (нихром 0,1 мм) в симметричные области соматосенсорной коры (эпидурально) и подлежащий дорзальный гиппокамп (AP = 2,5; L = 4, H = 4) [11]. Индифферентный электрод помещали на левом ухе. Операцию (нембутал - 60 мг/кг, внутримышечно) осуществляли за 7-9 дней до начала опытов. Миниатюрный разъем с подсоединенными электродами укрепляли на черепе норакрилом. В послеоперационный период производили многократное помещение животных в экспериментальную камеру с их полужесткой фиксацией в специальном гамаке для адаптации к условиям опытов. Схема эксперимента включала адаптацию (20 мин.), запись фоновых показателей (10 мин.) и собственно опыт (40 мин.), состоящий из двукратного чередования последовательности: 10 мин. - облучение, 10 мин. - без облучения. Контрольные эксперименты проводили по той же схеме, но животные не подвергались воздействию КВЧ-из-лучения. Для безартефактной регистрации ЭЭГ кроликов помещали в экранированную камеру, которая в том числе защищала от воздействия неконтролируемых ЭМИ от генератора ЭМИ КВЧ. Усиление электрической активности мозга осуществляли с помощью усилителя биопотенциалов УБПФ4-03 с постоянной времени 0,3 с и верхней частотой 30 Гц. Частотные спектры последовательных 10-се-кундных фрагментов ЭЭГ получали на персональном компьютере в режиме "on-line" по модифицированной методике периодограммного анализа [12] в диапазоне 0,5-30 Гц, содержащем 20 поддиапазонов, центральные частоты которых использовали для их обозначения при дальнейшем изложении. Статистическая обработка данных и детали методики подробно изложены в работе [9].
Источником ЭМИ КВЧ с частотой 61,5 ГГц служил генератор типа Г4-142. Выходную мощность генератора контролировали с помощью измерительного моста М3-10 и датчика М5-50. Излучение подводили к зоне воздействия с помощью гибкого диэлектрического волновода из полиэтилена сечением 2,2 - 4,4 мм2 с фиксацией его кончика на расстоянии 3-5 мм от поверхности кожи. Расчетные величины плотности потока энергии излучения вблизи поверхности кожи составляли около 200 нВт/см2 и 200 мкВт/см2 при двух различных значениях мощности ЭМИ КВЧ на выходе генератора. В качестве зоны облучения была выбрана область Gov-26 [13], расположенная между носовыми отверстиями кролика. Для всех животных в первый день проводился контрольный опыт (без облучения). В последующие дни в одной группе из 3 кроликов эксперименты состояли в применении излучения большей мощности, затем (на следующий день) - второго контроля, далее - излучения меньшей мощности и двух последовательных контролей (серия 1). В группе из других 3 животных (серия 2) отличие в схеме экспериментов заключалось в том, что сначала использовали излучение меньшей мощности, затем - большей.

Рис.1. Комплексные изменения в спектральных профилях левого и правого (штриховая и сплошная линии соответственно) полушарий коры (I) и гиппокампа (II) бодрствующих кроликов (N=3) в серии с облучением зоны акупунктуры ЭМИ КВЧ различной интенсивности. Абсцисса - центральные значения анализируемых частотных поддиапазонов ЭЭГ, Гц. Ордината - изменение (в %) мощности ритмов частотных поддиапазонов по отношению к соответствующим значениям первого контрольного (без ЭМИ) эксперимента (o - достоверные (p<0,05) отличия, представлены первые 10 мин. после регистрации фоновых показателей). 1 - ЭМИ КВЧ интенсивностью 200 мкВт/см2; 2 - второй контрольный эксперимент; 3 - ЭМИ КВЧ интенсивностью 200 нВт/см2.
3. Результаты исследования
Прежде всего следует отметить, что во всех опытах с КВЧ-излучением не выявлено каких-либо изменений в частотных спектрах ЭЭГ, закономерно связанных с периодами предъявления излучения. В первом опыте при действии ЭМИ КВЧ большей интенсивности на зону акупунктуры у кроликов серии 1 (рис.1,1) наблюдались комплексные изменения в частотных спектрах ЭЭГ коры правого полушария и в гиппокампе по сравнению с соответствующими показателями в первом контрольном опыте. Характерным проявлением эффекта было наличие изменений противоположного знака в мощности ритмов в соседних частотных поддиапазонах, причем более выраженное в гиппокампе, где наблюдалось достоверное усиление колебаний в частотных поддиапазонах 4,9; 6,4 и 8,2 Гц и ослабление - в частотных поддиапазонах 5,7; 7,2 и 9,3 Гц. Во втором контрольном опыте и еще через день - при применении ЭМИ КВЧ меньшей интенсивности (рис.1, части 2 и 3, соответственно) - обнаружено последовательное ослабление этого эффекта. Анализ вероятности достоверных изменений, исследованных в 20 частотных поддиапазонах спектра ЭЭГ и зарегистрированных в четырех 10-минутных интервалах каждого опыта (т.е. выборка из N = 80) данной серии (рис. 2, I), подтверждает выявленную закономерность и указывает на тенденцию к стабилизации этого показателя в гиппокампе в последующих контрольных экспериментах. В корковых областях не отмечается подобной стабилизации. Анализ вероятности достоверных изменений в спектрах ЭЭГ кроликов другой серии (рис. 2, II) указывает на монотонное нарастание данного показателя


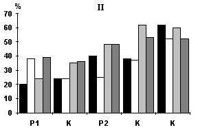
Рис.2. Изменение вероятности достоверных отличий (см. текст) от исходных контрольных значений в исследуемых поддиапазонах спектров ЭЭГ коры и гиппокампа в зависимости от последовательности применения ЭМИ КВЧ меньшей (Р1) и большей (Р2) интенсивностей. Ордината - вероятность (%) достоверных отличий за весь опыт. К - контрольные опыты. Столбики - разные области мозга: черные и белые - кора левого и правого полушарий, светло- и темносерые - гиппокамп левого и правого полушарий соответственно.

Рис.3. Изменение мощности ритмов некоторых частотных диапазонов ЭЭГ коры левого (А) и правого (Б) полушарий мозга бодрствующих кроликов (N=3) в опытах с применением ЭМИ КВЧ нарастающей интенсивности. Ордината - изменение (в %) мощности ритмов частотных поддиапазонов по отношению к соответствующим значениям первого контрольного (без ЭМИ) эксперимента (o - достоверные отличия). Штриховые линии - частоты 4,3 (I) и 16,4 (II) Гц, сплошные линии - 1,9 (I) и 8,2 (II) Гц. Вертикальные пунктирные линии - границы последовательных опытов. Р1 и Р2 - применение ЭМИ КВЧ меньшей и большей интенсивности соответственно; К - контрольные опыты.
в исследуемых областях мозга. При этом в последних контрольных экспериментах достигается уровень, в среднем на 20% превышающий (p<0,01 по U-критерию) показатель серии 1. Динамика мощности ритмов некоторых поддиапазонов из наиболее эффективных частотных полос в коре левого полушария (рис.3,А) соответствует выявленной закономерности. Однако в правой коре (рис. 3, Б) явно нарушается указанная монотонность, причем преимущественно в опыте с более интенсивным ЭМИ КВЧ. Следует отметить, что эти же ритмы в гиппокампе (рис.4) изменяются монотонным образом за исключением существенного ослабления ритмов в области 16,4 Гц в контрольном эксперименте, проведенном на следующий день после применения ЭМИ КВЧ большей интенсивности.
4. Анализ результатов
Многими авторами отмечается развитие тормозных процессов в мозге при использовании ЭМИ КВЧ [14], что связывается с его общим седативным влиянием на организм [6]. Исходя из этого можно было ожидать в данных условиях замедление основной ритмики ЭЭГ. Действительно, подобный эффект наблюдается в серии 2 наших опытов (рис.3). Однако существенно отличающиеся результаты серии 1 (рис.1) могут указывать на вовлечение и других механизмов в реализацию эффектов воздействия данного излучения на зону акупунктуры. Поразительное сходство спектральных профилей ЭЭГ, наблюдаемых в настоящей работе при использовании ЭМИ КВЧ и в другом исследовании [15], - с хроническим облучением крыс ультрафиолетовым (УФ) светом, может отражать вовлечение в реализацию выявленных эффектов одного и того же механизма. В указанной работе [15] было выдвинуто и обсуждено предположение об иммунологическом аспекте функционирования этого механизма, связанном с возможным центральным действием цитокинов (в частности интерлейкина-2 - ИЛ-2), выделившихся из клеток кожи под воздействием исследуемого физического фактора - УФ-света. В специальном исследовании с системным введением крысам синтетического фрагмента ИЛ-2 [16] действительно обнаружены идентичные изменения в спектральном профиле ЭЭГ. В связи с этим следует отметить, что наблюдается, с одной стороны, иммуно- и нейроиммуномодулирущее свойство акупунктуры [17, 18], с другой, - иммуномодулирующее свойство головного мозга, в частности его коры [19]. Особый интерес представляет факт более выраженной взаимосвязи правой коры и иммунной системы [19, 20]. В серии 1 наших экспериментов наблюдается проявление данного эффекта в коре (рис.1,I) и менее выраженное - в гиппокампе (рис.1,II). Определенное отражение латерализации эффекта можно отметить и в серии 2 при анализе динамики в ЭЭГ коры мощности ритмов в области 16 Гц. Так, если в левом полушарии (рис.3,А) не выявляется существенных изменений в этом параметре, то в правом (рис.3,Б) - наблюдается его выраженное возрастание, проявляющееся в опытах с ЭМИ КВЧ. Привлечение в подобных исследованиях соответствующего арсенала фармакологических средств, воздействующих на различные звенья иммунной системы, позволит сделать более прямой вывод по поводу высказанного предположения.
5. Выводы
1. В опытах на бодрствующих кроликах с постоянно вживленными электродами билатерально в соматосенсорную кору и дорзальный гиппокамп после воздействия последовательно (через сутки) на зону акупунктуры (Gov-26) ЭМИ КВЧ (61,5 ГГц) с плотностями потока энергии 200 нВт/см2 и 200 мкВт/см2 наблюдалось усиление низкочастотных (1-2,5 Гц) ритмов в ЭЭГ этих областей мозга.
2. При обратной последовательности применения ЭМИ КВЧ на другой группе кроликов более интенсивное излучение, примененное первым, вызывало комплексные изменения в частотных спектрах ЭЭГ коры правого полушария и гиппокампа (билатерально), проявляющиеся в достоверном усилении ритмов в области 4,9; 6,4 и 8,2 Гц и ослаблении - 5,7; 7,2 и 9,3 Гц.
3. Выявленный комплексный эффект сохранялся в ослабленном виде в правом полушарии на следующий день в контрольном эксперименте и практически исчезал на третий день (в опыте с ЭМИ КВЧ меньшей интенсивности).
4. В завершающих контрольных опытах серии, в которой применялась нарастающая интенсивность ЭМИ КВЧ, наблюдалась более высокая вероятность достоверных изменений в исследуемых поддиапазонах спектров ЭЭГ обеих структур мозга по сравнению с серией, в которой использовалось излучение с убывающей интенсивностью.

Рис.4. Изменение мощности ритмов некоторых частотных диапазонов ЭЭГ гиппокампа левого (А) и правого (Б) полушарий мозга кроликов (N=3) в опытах с применением ЭМИ КВЧ нарастающей интенсивности. Обозначения - как на рис.3.
Литература
1. Теппоне М.В. КВЧ-пунктура.- М: Логос, Колояро, 1997.- 314 с.
2. Девятков Н.Д. Голант М.Б., Бецкий О.В. Миллиметровые волны и их роль в процессах жизнедеятельности.- М.: Радио и связь, 1991.- 168 с.
3. Хромова С.В., Куликов М.А. Модификация условнорефлекторной деятельности крыс миллиметровым излучением // Журн. высш. нерв. деят.- 1990.- Т.40, ¦ 2.- С.377-379.
4. Василевский Н.Н., Гондарева Л.Н., Койсин Б.А. Влияние микроволн на работоспособность и импеданс структур мозга крыс // Физиол. журн. СССР.- 1984.- Т.70, ¦ 4.- С.419-424.
5. Холодов Ю.А., Лебедева Н.Н. Реакции нервной системы человека на электромагнитные поля.- М: Наука, 1992.- 135 с.
6. Андреев Е.А., Белый М.У., Ситько С.П. Реакция организма человека на электромагнитное излучение миллиметрового диапазона // Вестн. АН СССР.- 1985.- Вып.1.- С.24-32.
7. Голанов Е.В., Калюжный Л.В. Исчезновение эффекта электро-акупунктуры у кроликов при разрушении дорсомедиального гипоталамуса // Бюлл. экспер. биол. медицины.- 1980.- ¦ 6.- С.643-645.
8. Qizhang Yin, Jianren Mao, Shiyn Guo. Changes of reactions of neurones in dorsal raphe nucleus and locus coeruleus to electroacupuncture by hypothalamic arcuate nucleus stimulation // Funct. Neurol.- 1988.- Vol.3.- ¦ 3.- P.263-273.
9. Храмов Р.Н., Карпук Н.И., Воробьев В.В., Гальченко А.А., Косарский Л.С. Электрическая активность гипоталамуса при воздействии миллиметровым излучением на биологически активные точки // Бюлл. экспер. биол. медицины.- 1993.- Т.9.- С.263-265.
10. Sing T., Yang M.M. Electroacupuncture and razer stimulation treatment: evaluated by somatosensory evoked potential in conscious rabbits // Am. J. Chin. Med.- 1997.- Vol.25, ¦ 3-4.- P.263-271.
11. Буреш Я., Петрань М., Захар И. Электрофизиологические методы исследования.- М., 1962.- 456 с.
12. Гальченко А.А., Воробьев В.В. Анализ электроэнцефалограммы на основе модифицированного амплитудно-интервального алгоритма // Росс. физиол. журнал.- 1998.- Т.84, ¦ 3.- С.263-266.
13. Clifford D.H. and Lee M.O. Trends in acupuncture research-2: acupuncture and the autonomic nervous system // Vet. Med. / Small Animal Clinician.- 1979.- Vol.74, ¦ 1.- P.35-40.
14. Лебедева Н.Н., Сулимов А.В. Сенсорная индикация электромагнитных полей (ЭМП) миллиметрового диапазона // Миллиметровые волны в медицине и биологии / Под ред. акад. Н.Д.Девяткова.- М.: ИРЭ АН СССР, 1989.- С.176-182.
15. Храмов Р.Н., Воробьев В.В., Браткова Л.Р., Щелоков Р.Н., Чайлахян Л.М. "Триггерные" ЭЭГ эффекты ультрафиолетового света в условиях его хронического применения // Докл. АН.- 1997.- Т.356, ¦ 3.- С.418-421.
16. Воробьев В.В., Шибаев Н.В., Садовников В.Б., Михалева И.И., Оноприенко Л.В. Комплексные эффекты в частотном составе ЭЭГ крыс после повторного внутрибрюшинного введения фрагмента С-1-6 интерлейкина-2 человека // Эксперим. клинич. фармакол.- 1998. (в печати).
17. Fujiwara R., Tong Z.G., Matsuoka H., Shibata H., Iwamoto M., Yokoyama M.M. Effects of acupuncture on immune response in mice // Int. J. Neurosci.- 1991.- Vol.57, ¦ 1-2.- P.141-150.
18. Lundeberg T., Eriksson S.V., Theodorsson E. Neuroimmunomodulatory effects of acupuncture in mice // Neurosci. Lett.- 1991.- Vol.128, ¦ 2.- P.161-164.
19. Barneound P., Neveu P.J., Vitiello S., Mormede P., Le Moal M. Brain neocortex immunomodulation in rats // Brain Res.- 1988.- Vol.474.- P.394-398.
20. Barneound P., Rivet J.M., Vitiello S., Le Moal M., Neveu P.J. Brain norepinephrine levels after BCG stimulation of the immune system // Immunology Lett.- 1988.- Vol.18.- P.201-204.
FREQUENCY EEG SPECTRA OF CORTEX
AND HIPPOCAMPUS SYMMETRICAL AREAS
UNDER THE EHF EMR INFLUENCE ON AN
ACUPUNCTURE ZONE
V. V. Vorobyov, A. B. Gapeyev, S. A. Neiman,
G. M. Piskunova, R. N. Khramov, N. K. Chemeris
Summary
On six unanaesthetized male rabbits the frequency spectra of electrograms (EEG) of symmetrical both somatosensory cortex and hippocampus were studied during and after an exposure of acupuncture zone Gov-26 to millimeter waves (61.5 GHz) with different energy flux densities (200 nW/cm2 and 200 mW/cm2). The first application of more intensive irradiation provoked an increase in power of 4.9, 6.4 and 8.2 Hz and a decrease in that of 5.7, 7.2 and 9.3 Hz in EEG spectra of both brain areas studied in the right hemisphere and of the left hippocampus. This irradiation, applied after the less intensive one, enhanced the low-frequency rhythms (1-2.5 Hz) in EEG of both brain areas. In this series the great after-effect was observed.
Воробьев Василий Васильевич окончил в 1971 году радиофизический факультет Горьковского государственного университета, работает в Институте биофизики клетки РАН старшим научным сотрудником. Защитил кандидатскую диссертацию по моноаминергической регуляции гипоталамических влияний на кору мозга, автор около 40 научных работ. Область научных интересов: нейрохимия и электрофизиология мозга, влияние электромагнитных полей.
Нейман Сергей Алексеевич окончил в 1997 году естественнонаучный факультет Тульского государственного педагогического университета им. Л.Н.Толстого. В этом же году поступил в аспирантуру кафедры "Морфология, физиология человека и животных" ТГПУ им. Л.Н.Толстого по специальности "Физиология человека и животных". В настоящее время занимается изучением влияния электромагнитных полей на физиологические функции животных.
Пискунова Галина Михайловна окончила в 1973 году биолого-химический факультет Тульского государственного педагогического института им. Л.Н.Толстого, а в 1979 году - аспирантуру Института биологии развития им. Н.К.Кольцова АН СССР по специальности "Физиология человека и животных". Область научных интересов - нейрофизиология. В настоящее время проводит исследования влияния различных антропогенных факторов окружающей среды на функции животных организмов.
Храмов Роберт Николаевич окончил в 1971 году радиофизический факультет Горьковского государственного университета, работает в Институте теоретической и экспериментальной биофизики РАН старшим научным сотрудником. Защитил кандидатскую диссертацию по автоволновым процессам в возбудимой среде, автор более 50 научных работ. Область научных интересов: биологические механизмы действия электромагнитных полей, альтернативная медицина.